Khi theo dõi tin tức về thị trường chứng khoán, nhà đầu tư có thể dễ dàng đọc những thông báo về ngày hội cổ đông kèm theo đó là ngày giao dịch không hưởng quyền hay ngày đăng ký cuối cùng. Bởi hai ngày này giúp tổ chức phát hành phải xác định được những cổ đông hiện hữu, chốt danh sách cổ đông cho mục đích hưởng quyền. Vậy ngày giao dịch không hưởng quyền là gì? và có ý nghĩa thế nào trong giao dịch mua bán chứng khoán. Hãy cùng Mytrade tìm hiểu ngay ở bài dưới đây!
Ngày giao dịch không hưởng quyền là gì?

Thế nào là ngày giao dịch không hưởng quyền?
Ngày giao dịch không hưởng quyền là ngày giao dịch mà nhà đầu tư tiến hành mua chứng khoán sẽ không được hưởng những quyền lợi của các cổ đông như: quyền nhận cổ tức (bao gồm cổ tức tiền mặt, cổ tức cổ phiếu), quyền mua cổ phiếu phát hành thêm với mức giá ưu đãi hoặc là quyền tham dự vào Đại hội đồng cổ đông công ty.
Mục đích của ngày giao dịch không hưởng quyền là để chốt danh sách cổ đông sở hữu cổ phiếu của công ty ở thời điểm hiện tại.
Ngày đăng ký cuối cùng là gì?

Ngày đăng ký cuối cùng trả cổ tức là gì?
Ngày đăng ký cuối cùng (hay còn gọi ngày đăng ký cuối cùng trả cổ tức) là ngày mà một người phải có tên trong hồ sơ của doanh nghiệp với tư cách là cổ đông để được nhận cổ tức. Khi thiết lập được ngày đăng ký cuối cùng trả cổ tức thì ngày giao dịch không hưởng quyền cũng được thiết lập theo những quy tắc của sở giao dịch chứng khoán nơi cổ phiếu đó được niêm yết.
Ngày đăng ký cuối cùng sẽ là ngày làm việc liền sau ngày giao dịch không hưởng quyền. Theo quy định, thời hạn thanh toán là T+2 đối với những giao dịch bình thường. Tức là sau 02 ngày làm việc, thì tiền sẽ hoặc chứng khoán sẽ về tài khoản của nhà đầu tư.
Các cổ đông doanh nghiệp sẽ được Trung tâm Lưu ký Chứng khoán đăng ký và bảo đảm trong danh sách nhận cổ tức vào ngày đã định. Các nhà đầu tư có thể hiểu đơn giản rằng tại thời điểm từ trước đến ngày đăng ký cuối cùng, cổ đông nào đang sở hữu cổ phiếu (không bán hoặc chuyển nhượng đi) thì sẽ được hưởng cổ tức.
Ngày chốt quyền nhận cổ tức là gì?
Ngày chốt quyền nhận cổ tức chính là ngày mà Hội đồng quản trị công ty thông báo về việc chi trả cổ tức cho các cổ đông. Thông báo này sẽ bao gồm các thông tin về quy mô cổ tức, ngày thanh toán và ngày giao dịch không hưởng quyền.
Ngày chốt quyền nhận cổ tức sẽ là ngày cuối cùng mà người nắm giữ quyền chọn phải cho biết rằng họ có thực hiện quyền chọn hay không. Hay còn được gọi là “ngày hết hạn”.
Ngày chốt quyền nhận cổ tức là ngày ít quan trọng so với ngày nhận cổ tức (bao gồm ngày không hưởng cổ tức, ngày lập hồ sơ và ngày thanh toán). Ngày này chỉ mang tính chất truyền đạt thông tin về thời hạn nhận cổ tức mà không bất kỳ tác động nào đến hoạt động mua bán.
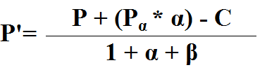
Cách tính giá của cổ phiếu trong ngày giao dịch không hưởng quyền

Trong đó:
P: Giá của hiện tại
P’: Giá của ngày giao dịch không hưởng quyền
P⍺: Giá của các cổ phiếu phát hành thêm
⍺: Tỷ lệ của các cổ phiếu phát hành thêm
ꞵ: Tỷ lệ của chia cổ tức bằng cổ phiếu (còn gọi là cổ phiếu thưởng thêm)
C: Cổ tức chia bằng tiền
>> Tham khảo: Đáo hạn phái sinh là gì?
Vai trò của ngày giao dịch không hưởng quyền trong chứng khoán?

Ngày giao dịch không hưởng quyền có vai trò thế nào trong chứng khoán?
- Đối với tổ chức phát hành
Ngày giao dịch không hưởng quyền giúp xác định được thời điểm chốt danh sách cổ đông sở hữu cổ phiếu doanh nghiệp và thực hiện kế hoạch về quyền lợi cho các cổ đông theo chính sách doanh nghiệp đề ra.
Thị trường chứng khoán luôn có những biến động liên tục với hàng loạt giao dịch mua bán dẫn đến sự thay đổi về quyền sở hữu các cổ phiếu. Điều này dẫn đến việc xác định chính xác thông tin cổ đông nắm giữ cổ phiếu trở nên khó khăn và thiếu sự minh bạch. Vì vậy, việc thông báo trước về các mốc thời gian để xác định và chốt danh sách, thanh toán phân bổ cổ tức là một điều quan trọng đối với những doanh nghiệp phát hành cổ phiếu.
- Đối với nhà đầu tư
Ngày giao dịch không hưởng quyền giúp nhà đầu tư xác định được chiến lược mua bán hiệu quả về mặt thời gian để mang lại lợi nhuận tối đa. Thông thường, một số nhà đầu tư sẽ có chiến lược mua và nắm giữ cổ phiếu. Vì thế, họ sẽ thực hiện mua cổ phiếu của những công ty uy tín và nắm giữ trong thời gian dài để nhận được những quyền lợi và giá trị nhờ sự phát triển của doanh nghiệp qua các giai đoạn.
Do đó, để có thể đảm bảo được hưởng cổ tức cũng như những lợi ích khác, nhà đầu tư cần lưu ý tiến hành mua cổ phiếu trước ngày giao dịch không hưởng quyền và không nên bán trước ngày quan trọng này.
Những điều cần biết về ngày giao dịch không hưởng quyền
Những quy định về ngày giao dịch không hưởng quyền sẽ tác động đến nhiều các hoạt động khác nhau. Vì vậy nó sẽ có những tác động tích cực hoặc tiêu cực đến lợi ích của nhà đầu tư. Do đó nhà đầu tư cần có chiến lược cụ thể về việc mua bán cổ phiếu trong giai đoạn trước và sau ngày giao dịch không hưởng quyền nhận.
- Giá của cổ phiếu sẽ có sự điều chỉnh giảm xuống trong ngày giao dịch không hưởng quyền
- Nếu nhà đầu tư đang có ý định mua cổ phiếu trước ngày giao dịch không hưởng quyền và bán lại ngay sau đó nhằm mục đích nhận cổ tức thì cần phải suy nghĩ kỹ. Bởi nếu không tính toán cẩn thận thì mức giá giảm sau đó sẽ khiến cho nhà đầu tư mất nhiều tiền hơn so với lợi nhuận từ hoạt động chia cổ tức mang lại. Chính vì vậy nên nếu nhà đầu tư muốn khai thác hiệu quả những quyền lợi của cổ đông thì nên tiến hành đầu tư dài hạn vào những mã cổ phiếu tiềm năng thay vì chỉ thực hiện những giao dịch ngắn hạn.
- Đối với hình thức chi trả cổ tức bằng tiền, các cổ đông sẽ trực tiếp được nhận tiền dựa vào mệnh giá cổ phiếu chuyển vào tài khoản chứng khoán. Đối với hình thức chi trả bằng cổ tức bằng cổ phiếu, doanh nghiệp sẽ tiến hành phát hành thêm một số lượng cổ phiếu nhất định cho cổ đông.
- Đối với các doanh nghiệp có nhiều tiềm năng tăng trưởng thì sẽ tập trung lợi nhuận vào để tái đầu tư phát triển công ty thay vì tiến hành trả cổ tức bằng tiền cho cổ đông. Ngược lại, với những doanh nghiệp lớn và ổn định trên thị trường thường sẽ tiến hành trả cổ tức bằng tiền mặt. Vì thế, nhà đầu tư nên tìm hiểu và cân nhắc về mong muốn của mình để đưa ra những chiến lược phù hợp. Lưu ý rằng, nhà đầu tư nhận cổ tức sẽ phải đóng thuế thu nhập cá nhân liên quan đến hoạt động đầu tư vốn.
- Dựa vào những thông tin về ngày chốt quyền nhận cổ tức, nhiều nhà đầu tư có kinh nghiệm sẽ xây dựng cho mình một chiến lược giao dịch mua bán trước ngày này để thu lợi từ cổ tức. Tuy nhiên nhà đầu tư cũng cần lưu ý, tại thị trường Việt Nam nhà đầu tư sẽ phải đóng một phần thuế thu nhập dựa trên số cổ tức mà họ nhận được. Mức thuế hiện nay đang là 5% và được khấu trừ tại nguồn đối với những cổ tức bằng tiền mặt hoặc 5% khi bán bán/chuyển nhượng cổ phiếu đối với những cổ tức bằng cổ phiếu. Đây là một trong những chi phí bắt buộc và sẽ ảnh hưởng trực tiếp đến lợi ích thực nhận. Do đó, nhà đầu tư cần cân nhắc kỹ khoản thuế này để có chiến lược mua bán phù hợp.
Có nên mua cổ phiếu vào ngày giao dịch không hưởng quyền

Có nên mua cổ phiếu vào ngày không hưởng quyền
Khi doanh nghiệp chia cổ tức nhiều người nhầm lẫn là tổng vốn hóa của doanh nghiệp sẽ tăng lên. Nhưng thực tế không phải, chỉ có tiền của nhà đầu tư tăng lên mà thôi, bởi nguyên tắc là sau khi chia cổ tức và trước khi chia vốn hóa sẽ bằng nhau.
Đối với nhiều nhà đầu tư thắc mắc không biết có nên mua cổ phiếu hay bán cổ phiếu vào ngày giao dịch không hưởng quyền nhận cổ tức. Thực ra cổ tức mà doanh nghiệp chia cho nhà đầu tư cũng không quá nhiều và không có lợi ích ngắn hạn mà chỉ có lợi khi nhà đầu tư mua cổ phiếu đầu tư dài hạn mà thôi.
Với ngày giao dịch không hưởng quyền thì sẽ ít nhà đầu tư bán cổ phiếu và giá có xu hướng giảm thì có lẽ việc quyết định mua cổ phiếu thời điểm này sẽ là sự lựa chọn tốt nhất. Bởi đây là thời điểm mà nhà đầu tư mua được cổ phiếu giá rẻ. Trường hợp vào ngày giao dịch không hưởng quyền mà giá cổ phiếu không giảm nhiều, nhà đầu tư có nhu cầu bán vẫn được miễn là không lỗ.
Thông thường giá cổ phiếu sẽ điều chỉnh giảm mạnh sau ngày doanh nghiệp chia cổ tức bằng cổ phiếu. Bởi số lượng cổ phiếu lưu hành trên thị trường tăng làm cho giá giảm để cân bằng được với số vốn hóa của doanh nghiệp trên sàn chứng khoán. Vậy nên việc có nên mua cổ phiếu vào ngày không hưởng quyền hay không là phù thuộc vào chiến lược đầu tư của bạn.
Nên giao dịch mã cổ phiếu nào vào ngày giao dịch không hưởng quyền?
Nếu nhà đầu tư vẫn còn phân vân chưa biết nên mua mã cổ phiếu nào vào ngày không hưởng quyền thì cần có quy trình định giá doanh nghiệp cụ thể, không nên chạy đua với các cổ phiếu quá mạnh. Bởi những mã cổ phiếu này cơ bản nó đã có giá rất cao trên thị trường, khi nhà đầu tư chạy đua để giao dịch mua thì ngay sau khi ngày chia cổ tức diễn ra, khả năng thua lỗ từ giao dịch trước đó là rất lớn.
Ngoài ra, nhà đầu tư cũng nên tìm đến những cổ phiếu đang được định giá thấp hoặc gần bằng với giá trị thực tại của doanh nghiệp bởi như thế sẽ lợi thế về đầu tư dài hạn. Nhiều nhà đầu tư mới khi tham gia vào thị trường đầu tư nhưng lại tìm đến các mã cổ phiếu nóng đang trên đà tăng giá mạnh hoặc các cổ phiếu đang có giá cao để mua. Thậm chí các mã cổ phiếu đó đang được định giá cao hơn so với giá trị thực tại doanh nghiệp. Nên khi cổ phiếu đó trở về giá trị thực nhà đầu tư lại thua lỗ.
Vậy nên để nhà đầu tư có thể đưa ra những lựa chọn đầu tư tiềm năng thì cần ưu tiên những cổ phiếu đang được định giá thấp, có triển vọng và tiềm năng để đầu tư lâu dài.
Kết luận
Với những giải thích trên đây của Mytrade về ngày giao dịch không hưởng quyền nhận cổ tức là gì? Hy vọng có thể giúp nhà đầu tư hiểu rõ hơn về ngày không hưởng quyền này. Nhiều nhà đầu tư vẫn rất quan trọng ngày này nhưng thực tế nó không ảnh hưởng nhiều đến những khoản đầu tư của bạn. Tuy nhiên dựa vào ngày chia cổ tức mà bản thân nhà đầu tư có thể đưa ra đánh giá và nhận định được xu hướng giá cổ phiếu thay đổi như thế nào trong thời gian tới.

Mytrade - nền tảng số 1 về giao dịch và đầu tư chứng khoán hiện nay
Nhà đầu tư đã không do dự khi chọn Mytrade làm nền tảng giao dịch chứng khoán số một trong năm 2022. Bởi Mytrade cung cấp hàng loạt thị trường, giao diện thân thiện với người dùng và vị thế pháp lý – hiện là nơi hàng trăm ngàn nhà giao dịch đang hoạt động bởi những ưu điểm sau:
- Tối ưu nguồn vốn: Mytrade sẽ cung cấp những công cụ tối ưu về vốn cho quý nhà đầu tư và tận dụng những cơ hội giao dịch khi thị trường có xu hướng tích cực.
- Tối ưu về chi phí: Khi các nhà đầu tư đã mở tài khoản tại https://mytrade.vn/ sẽ được hưởng ữu đãi tốt nhất về các khoản chi phí.
- Tối ưu về lợi nhuận: Mytrade sẽ đồng hành suốt chặng đường cùng các nhà đầu tư để mang về mức lợi nhuận tối ưu nhất.
Nếu nhà đầu tư đang còn bất kỳ thắc mắc hoặc cần hỗ trợ thực hiện giao dịch, vui lòng thể liên hệ ngay đến My Trade chúng tôi qua Hotline 1900966935 – 0983.668.883 để được hỗ trợ nhanh nhất, chính xác nhất.